어댑터 패턴
기존 코드를 클라이언트가 사용하는 인터페이스의 구현체로 박꿔주는 패턴

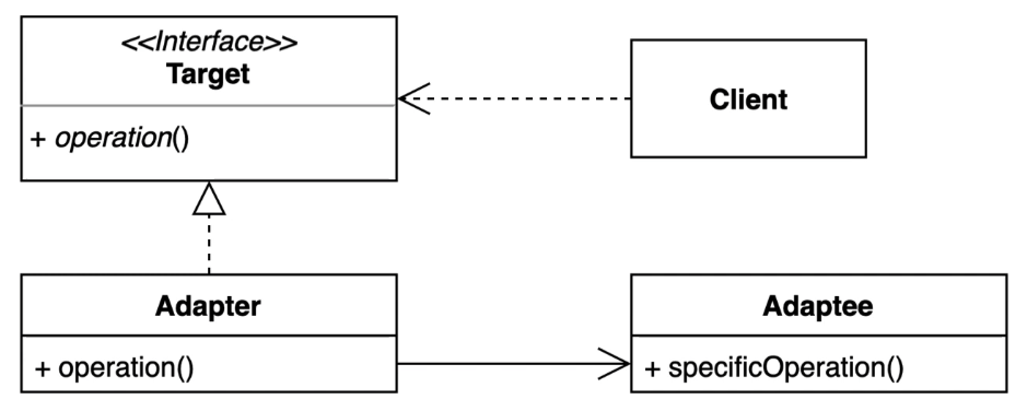
Client는 Target Interface를 사용Adaptee를 사용하기 위해Target과Adaptee를 연결할Adapter사용
어댑터 패턴의 핵심은 adaptee를 adapter를 통해 target으로 변환시켜주는 것이다.
예제1

CType:
TargetAdapter:
AdapterEightPin:
Adaptee
위의 코드를 보면 client(CType port) 는 CType을 인자로 받는다. 여기서 만약 8핀으로 수정하고 싶으면 client()를 수정해야한다.
👉 그럼 왜 `Adapter`를 사용할까?
현재 EightPin(Adaptee)는 직접 작성한 클래스라 수정이 가능하지만 만약 라이브러리로 제공되는 클래스라면 수정이 불가능할 것이다. 그렇다면 CType클래스의 코드를 변경할 수도 있지만 이 경우에도 기존에 CType을 많은 곳에서 사용할 수록 수정 작업이 쉽지 않을뿐 아니라 오류 발생율도 증가하게 될 것이다.
예제2
다음 예제는 Spring Security에서 제공하는 UserDetails에 관한 코드이다.
UserDetails
username과 password 정보를 알아낼 수 있는 인터페이스
Target에 해당
UserDetailsService
username에 해당하는 UserDetails 유저 정보를 읽어들이는 인터페이스
Target에 해당
LoginHandler
UserDetails와 UserDetailsService로 로그인을 처리하는 핸들러
Client에 해당
Account
애플리케이션마다 (각 애플리케이션에 맞게) 만드는 일반적인 Account
security 패키지에서 제공하는 클래스와 다르게 해당 애플리케이션에서만 사용하는 용도의 클래스이다.
Adaptee에 해당
AccountService
애플리케이션마다 (각 애플리케이션에 맞게) 만드는 일반적인 AccountService
security 패키지에서 제공하는 클래스와 다르게 해당 애플리케이션에서만 사용하는 용도의 클래스이다.
Adaptee에 해당
Client 코드에 해당하는 로그인 기능을 처리해주는 LoginHandler는 UserDatils와 UserDetailsService라는 정해진 규격의 인터페이스를 사용하고 있다. (Target에 해당)
우리 애플리케이션의 Account와 AccountService는 Adaptee에 해당한다.
여기에 중간 어댑터를 만들어서 현재 security 내의 클래스와 상호호환되지 않는 이 두 클래스를 호환시킨 코드는 다음과 같이 만들 수 있다.
AccountUserDetailsService
Adaptee를 사용해서 Target 인터페이스 규약에 맞도록 구현해준다.
UserDetailsService 인터페이스를 implements
Adaptee에 해당하는 AccountService를 필드로 가지고 사용
loadUser()를 Override할 때, AccountService를 사용
이 때,
AccountService는UserDetails와 상관없는Account를 넘겨주기 때문에 이를 다시UserDetails로 변환해주는 어댑터가 필요
AccountUserDetails
UserDetails라는 Target을 Adaptee에 해당하는 Account를 사용해서 구현
예제1 에서와 같이 예제2 코드를 보면 기존의
UserDetailService는 AccountUserDetailService(Adapter)를 통해 AccountService(Adaptee)로 대체됐다.
또한 AccountUserDetails(UserDetails 의 Adapter)를 통해 UserDetails대신 Account(adaptee)로 대체된 것을 확인할 수 있다.
장/단점
장점
기존 코드(Adaptee)를 변경하지 않고 원하는 인터페이스(Target) 구현체를 만들어 재사용할 수 있다.
기존 코드를 변경하지 않고, 확장할 수 있다는 점에서 OCP(Open Closed Principle) 원칙에 가까운 패턴이다.
기존 코드가 하던 일과 특정 인터페이스 구현체로 변환하는 작업을 각기 다른 클래스로 분리하여 관리할 수 있다.
각각 하던 일에 집중할 수 있기 때문에 SRP(Single Responsibility Principle) 원칙에 가까운 패턴이다
단점
클래스가 많아지고, 구조가 복잡해진다.
실무 예제
java.util.Arrays#asList(T...)
배열을 리스트로 변환해준다.
배열(
Target) → (Adapter)→ 리스트(Adaptee)T...: 가변인자 - 내부적으로는 배열로 넘겨받게 된다.
HandlerAdapter
핸들러 : 요청을 처리하고 응답을 반환
우리가 작성하는 다양한 형태의 핸들러 코드를 스프링 MVC가 실행할 수 있는 형태로 변환해주는 어댑터용 인터페이스.
가장 많이 사용하는 형태의 핸들러
doDispatch()코드 일부
getHandlerAdapter()
핸들러는 다양한 형태이기 때문에 Object 타입으로 받아온다.
핸들러를 처리할 수 있는 HandlerAdapter를 찾아서 반환한다.
어떤 핸들러를 사용하느냐에 따라 각기 다른 핸들러 어댑터를 사용하게 된다.
핸들러 어댑터는 간단한 인터페이스만 구현해주면 된다.
핸들러 어댑터는 요청을 처리하는 방법을 구현해주면 된다.
그 중 가장 많이 사용하는 것이 RequestMappingHandlerAdapter이다.
원한다면 직접만들어서 구현할 수 있다.
스프링은 Adapter에 해당하는 인터페이스를 제공해주는 것이다.
HttpServletRequest와HttpServletResponse를 받아서ModelAndView를 반환해주는 어댑터에 대한 인터페이스를 정의한 것이HandlerAdapter이다.
왜 이런 어댑터 인터페이스가 필요했을까?
다양한 형태의 핸들러가 있고, 각기 다른 형태에 따라 각각 다르게 처리해야하기 때문에, 다르게 처리해야하는 모든 핸들러가 스프링MVC에 들어있고, 다양한 형태의 핸들러를 다 지원할 수 있게(확장에 열려있게) 해주기 위해 스프링 MVC가 고안해놓은 인터페이스이다.
어댑터 패턴을 이해한 후에 SpringMVC의
DispatcherServlet구현 코드를 읽어보고doDispatch의 동작 원리를 공부해보면 좋을 것 같다!
레거시 시스템을 원하는 인터페이스로 사용 가능하게 할 수 있고, 어댑터 객체에서 적절히 구현 후 적용한다면 단순한
wrapping이상의 효과를 볼 수 있을 것 같다.
추가로 설명하자면
선언한 컨트롤러 클래스내의 메서드를 실행하여 응답을 하는데 이때 반환 값이 String/ModelAndView 로 다양한 결과값을 반환할 수 있습니다. 하지만 Servlet에서는 무조건 ModelAndView를 받아서 이를 사용하도록 구현되었기 때문에 두 사이를 연결하기 위해 HandlerAdpater가 필요합니다.
대표적인 HandlerAdpater로 RequestMappingHandlerAdpater / HttpRequestHadlerAdapter / SimpleControllerAdapter가 존재고 이외에도 HandlerFucntionAdapter, SimpleServletHandlerAdpater가 존재합니다.
1. RequestMappingHandlerAdpater
첫번째로 **RequestMappingHandlerAdpater**는 AbstractHandlerMethodAdpater를 상속한 구현체로 @Annotation방식의 핸들러에 사용이 됩니다.
invokeHandlerMethod()를 통해 컨트롤러의 메서드를 실행하고 getModelAndView()메서드를 통해 ModelAndView로 바꿔 반환합니다.
추가적으로 핸들러에 대해 설명하자면 아래에 설명할 다른 핸들러는 하나의 컨트롤러가 하나의 url에 만 맵핑되지만, 이 방식은 하나의 컨트롤러에서 여러 url과 맵핑될 수 있습니다.
2. HttpRequestHandlerAdapter
두번째로 HttpRequestHandlerAdapter는 HttpRequestHandler라는 인터페이스를 구현한 컨트롤러(핸들러)를 위한 Adapter로 Model/view를 사용하지 않는 Http기반의 low level서비스를 개발할때 사용할 수 있습니다.
별도의 Model/View를 사용하지 않기 때문에 null을 반환하는 것을 볼 수 있습니다.
3. SimpleControllerHandlerAdpter
Controller라는 인터페이스를 구현한 컨트롤러(핸들러)를 위한 Adapter로 어노테이션방식의 컨트롤러가 등장하기 전의 가장 기본적인 컨트롤러 타입입니다.
Controller 인터페이스의 handleRequest()가 ModelAndView를 반환하기에 그대로 실행하여 반환하는 것을 볼 수 있습니다.
Last updated