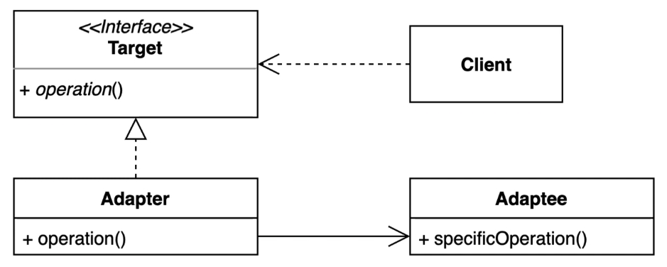
어댑터 패턴
GoF의 디자인패턴 중 구조의 어댑터 패턴을 Java 로 정리한 글
기존 코드를 클라이언트가 사용하는 인터페이스의 구현체로 꿔주는 패턴

Client
는 Target Interface를 사용Adaptee
를 사용하기 위해Target
과Adaptee
를 연결할Adapter
사용
어댑터 패턴의 핵심은 adaptee
를 adapter
를 통해 target
으로 변환시켜주는 것이다.
1. 예제1
public class CType {
public void getName() {
System.out.println("C타입 포트");
}
}
public class EightPin {
public void getPortName() {
System.out.println("8핀 포트");
}
}
public class adapter extends CType {
private EightPin eightPin;
public adapter(EightPin eightPin) {
this.eightPin = eightPin;
}
@Override
public void getName() {
eightPin.getPortName();
}
}
public class Main {
public static void main(String[] args) {
CType port = new CType();
CType port2 = new adapter(new EightPin());
client(port);
client(port2);
}
//클라이언트 코드는 변경되지 않는다.
public static void client(CType port) {
port.getName();
}
}
//결과
C타입 포트
8핀 포트

CType:
Target
Adapter:
Adapter
EightPin:
Adaptee
위의 코드를 보면 client(CType port)
는 CType을 인자로 받는다. 여기서 만약 8핀으로 수정하고 싶으면 client()
를 수정해야한다.
👉 그럼 왜 `Adapter`를 사용할까?
현재 EightPin(Adaptee)
는 직접 작성한 클래스라 수정이 가능하지만 만약 라이브러리로 제공되는 클래스라면 수정이 불가능할 것이다. 그렇다면 CType
클래스의 코드를 변경할 수도 있지만 이 경우에도 기존에 CType
을 많은 곳에서 사용할 수록 수정 작업이 쉽지 않을뿐 아니라 오류 발생율도 증가하게 될 것이다.
2. 예제2
다음 예제는 Spring Security
에서 제공하는 UserDetails
에 관한 코드이다.
UserDetails
username과 password 정보를 알아낼 수 있는 인터페이스
Target
에 해당
public interface UserDetails {
String getUsername();
String getPassword();
}
UserDetailsService
username에 해당하는 UserDetails 유저 정보를 읽어들이는 인터페이스
Target
에 해당
public interface UserDetailsService {
UserDetails loadUser(String username);
}
LoginHandler
UserDetails와 UserDetailsService로 로그인을 처리하는 핸들러
Client
에 해당
public class LoginHandler {
UserDetailsService userDetailsService;
public LoginHandler(UserDetailsService userDetailsService) {
this.userDetailsService = userDetailsService;
}
public String login(String username, String password) {
UserDetails userDetails = userDetailsService.loadUser(username);
if (userDetails.getPassword().equals(password)) {
return userDetails.getUsername();
} else {
throw new IllegalArgumentException();
}
}
}
Account
애플리케이션마다 (각 애플리케이션에 맞게) 만드는 일반적인 Account
security 패키지에서 제공하는 클래스와 다르게 해당 애플리케이션에서만 사용하는 용도의 클래스이다.
Adaptee
에 해당
public class Account {
private String name;
private String password;
private String email;
// getter, setter ...
}
AccountService
애플리케이션마다 (각 애플리케이션에 맞게) 만드는 일반적인 AccountService
security 패키지에서 제공하는 클래스와 다르게 해당 애플리케이션에서만 사용하는 용도의 클래스이다.
Adaptee
에 해당
public class AccountService {
public Account findAccountByUsername(String username) {
Account account = new Account();
account.setName(username);
account.setPassword(username);
account.setEmail(username);
return account;
}
public void createNewAccount(Account account) {
}
public void updateAccount(Account account) {
}
}
Client
코드에 해당하는 로그인 기능을 처리해주는 LoginHandler
는 UserDatils
와 UserDetailsService
라는 정해진 규격의 인터페이스를 사용하고 있다. (Target
에 해당)
우리 애플리케이션의 Account
와 AccountService
는 Adaptee
에 해당한다.
여기에 중간 어댑터를 만들어서 현재 security
내의 클래스와 상호호환되지 않는 이 두 클래스를 호환시킨 코드는 다음과 같이 만들 수 있다.
AccountUserDetailsService
Adaptee를 사용해서 Target 인터페이스 규약에 맞도록 구현해준다.
UserDetailsService 인터페이스를 implements
Adaptee에 해당하는 AccountService를 필드로 가지고 사용
loadUser()를 Override할 때, AccountService를 사용
이 때,
AccountService
는UserDetails
와 상관없는Account
를 넘겨주기 때문에 이를 다시UserDetails
로 변환해주는 어댑터가 필요
public class AccountUserDetailsService implements UserDetailsService {
private AccountService accountService;
public AccountUserDetailsService(AccountService accountService) {
this.accountService = accountService;
}
@Override
public UserDetails loadUser(String username) {
return new AccountUserDetails(accountService.findAccountByUsername(username));
}
}
AccountUserDetails
UserDetails라는 Target을 Adaptee에 해당하는 Account를 사용해서 구현
public class AccountUserDetails implements UserDetails {
private Account account;
public AccountUserDetails(Account account) {
this.account = account;
}
@Override
public String getUsername() {
return account.getName();
}
@Override
public String getPassword() {
return account.getPassword();
}
}
public class App {
public static void main(String[] args) {
AccountService accountService = new AccountService();
UserDetailsService userDetailsService = new AccountUserDetailsService(accountService);
LoginHandler loginHandler = new LoginHandler(userDetailsService);
String login = loginHandler.login("solar", "solar");
System.out.println(login); //solar
}
}
예제1
에서와 같이 예제2
코드를 보면 기존의
UserDetailService
는 AccountUserDetailService(Adapter)
를 통해 AccountService(Adaptee)
로 대체됐다.
또한 AccountUserDetails
(UserDetails
의 Adapter
)를 통해 UserDetails
대신 Account(adaptee)
로 대체된 것을 확인할 수 있다.
3. 장/단점
장점
기존 코드(Adaptee)를 변경하지 않고 원하는 인터페이스(Target) 구현체를 만들어 재사용할 수 있다.
기존 코드를 변경하지 않고, 확장할 수 있다는 점에서 OCP(Open Closed Principle) 원칙에 가까운 패턴이다.
기존 코드가 하던 일과 특정 인터페이스 구현체로 변환하는 작업을 각기 다른 클래스로 분리하여 관리할 수 있다.
각각 하던 일에 집중할 수 있기 때문에 SRP(Single Responsibility Principle) 원칙에 가까운 패턴이다
단점
클래스가 많아지고, 구조가 복잡해진다.
4. 실제사용 예시
java.util.Arrays#asList(T...)
List<String> strings = Arrays.asList("a", "b", "c"); // 배열을 리스트로 변환
Enumeration<String> enumeration = Collections.enumeration(strings); // Collections(여기에서는 List)를 Enumeration으로 변환
ArrayList<String> list = Collections.list(enumeration); // Enumeration을 list로 변환
배열을 리스트로 변환해준다.
배열(
Target
) → (Adapter
)→ 리스트(Adaptee
)T...
: Varargs(가변인자) - 내부적으로는 배열로 넘겨받게 된다.
InputStreamReader / OutputStreamReader
try(InputStream is = new FileInputStream("input.txt"); // 파일로 부터 바이트를 입력 받음
InputStreamReader isr = new InputStreamReader(is); // 바이트를 문자로 변환
BufferedReader reader = new BufferedReader(isr)) { // 문자를 버퍼링
while(reader.ready()) {
System.out.println(reader.readLine());
}
} catch (IOException e) {
throw new RuntimeException(e);
}
InputStream은 바이트 스트림을 입력받고, BufferdReader는 캐릭터 스트림을 입력 받아처리합니다. 이렇게 서로 다른 api를 연결하기 위해 어댑터
역할을 수행하는 것이 InputStreamReader가 됩니다.
HandlerAdapter
핸들러 : 요청을 처리하고 응답을 반환하는 객체로 컨트롤러 클래스가 될수도 있고 메서드가 될 수도 있다.
핸들러 어댑터 : 우리가 작성하는 다양한 형태의 핸들러 코드를 스프링 MVC가 실행할 수 있는 형태로 변환해주는 어댑터용 인터페이스.
public class AdapterInSpring {
public static void main(String[] args) {
DispatcherServlet dispatcherServlet = new DispatcherServlet();
HandlerAdapter handlerAdapter = new RequestMappingHandlerAdapter();
}
}
DispathcerServlet
DispathcerServlet
doDispatch()
// 해당 핸들러를 처리할 수 있는 HandlerAdapter를 찾아온다.
// Determine handler adapter for the current request.
HandlerAdapter ha = getHandlerAdapter(mappedHandler.getHandler());
// ..(생략)
// 핸들러를 찾아오면 요청을 처리한다. 처리결과로 model and view를 반환한다.
// Actually invoke the handler.
mv = ha.handle(processedRequest, response, mappedHandler.getHandler());
getHandlerAdapter()
핸들러는 다양한 형태이기 때문에 Object
타입으로 받아온다.
핸들러를 처리할 수 있는 HandlerAdapter
를 찾아서 반환한다.
protected HandlerAdapter getHandlerAdapter(Object handler) throws ServletException {
if (this.handlerAdapters != null) {
for (HandlerAdapter adapter : this.handlerAdapters) {
if (adapter.supports(handler)) {
return adapter;
}
}
}
throw new ServletException("No adapter for handler [" + handler +
"]: The DispatcherServlet configuration needs to include a HandlerAdapter that supports this handler");
}
어떤 핸들러를 사용하느냐에 따라 각기 다른 핸들러 어댑터를 사용하게 된다.
HandlerAdapter
public interface HandlerAdapter {
/** * Given a handler instance, return whether or not this {@code HandlerAdapter}
* can support it. Typical HandlerAdapters will base the decision on the handler
* type. HandlerAdapters will usually only support one handler type each.
* <p>A typical implementation:
* <p>{@code * return (handler instanceof MyHandler); * }
* @param handler the handler object to check
* @return whether or not this object can use the given handler
*/boolean supports(Object handler);
/** * Use the given handler to handle this request.
* The workflow that is required may vary widely.
* @param request current HTTP request
* @param response current HTTP response
* @param handler the handler to use. This object must have previously been passed
* to the {@code supports} method of this interface, which must have
* returned {@code true}.
* @throws Exception in case of errors
* @return a ModelAndView object with the name of the view and the required
* model data, or {@code null} if the request has been handled directly
*/@Nullable
ModelAndView handle(HttpServletRequest request, HttpServletResponse response, Object handler) throws Exception;
/** * Same contract as for HttpServlet's {@code getLastModified} method.
* Can simply return -1 if there's no support in the handler class.
* @param request current HTTP request
* @param handler the handler to use
* @return the lastModified value for the given handler
* @see javax.servlet.http.HttpServlet#getLastModified
* @see org.springframework.web.servlet.mvc.LastModified#getLastModified
*/long getLastModified(HttpServletRequest request, Object handler);
HttpServletRequest
와HttpServletResponse
를 받아서ModelAndView
를 반환해주는 어댑터에 대한 인터페이스를 정의한 것이HandlerAdapter
이다.
왜 이런 어댑터 인터페이스가 필요했을까?
다양한 형태의 핸들러가 있고, 각기 다른 형태에 따라 각각 다르게 처리해야하기 때문에, 다르게 처리해야하는 모든 핸들러가 스프링MVC에 들어있고, 다양한 형태의 핸들러를 다 지원할 수 있게(확장에 열려있게) 해주기 위해 스프링 MVC가 고안해놓은 인터페이스이다.
어댑터 패턴을 이해한 후에 SpringMVC의
DispatcherServlet
구현 코드를 읽어보고doDispatch
의 동작 원리를 공부해보면 좋을 것 같다!
레거시 시스템을 원하는 인터페이스로 사용 가능하게 할 수 있고, 어댑터 객체에서 적절히 구현 후 적용한다면 단순한
wrapping
이상의 효과를 볼 수 있을 것 같다.
추가로 설명하자면
선언한 컨트롤러 클래스내의 메서드를 실행하여 응답을 하는데 이때 반환 값이 String
/M odelAndView
로 다양한 결과값을 반환할 수 있습니다. 하지만 Servlet
에서는 무조건 ModelAndView
를 받아서 이를 사용하도록 구현되었기 때문에 두 사이를 연결하기 위해 HandlerAdpater
가 필요합니다.
대표적인 HandlerAdpater
로 RequestMappingHandlerAdpater
/ HttpRequestHadlerAdapter
/ SimpleControllerAdapter
가 존재고 이외에도 HandlerFucntionAdapter
, SimpleServletHandlerAdpater
가 존재합니다.
1. RequestMappingHandlerAdpater
첫번째로 **RequestMappingHandlerAdpater
**는 AbstractHandlerMethodAdpater
를 상속한 구현체로 @Annotation
방식의 핸들러에 사용이 됩니다.
protected ModelAndView handleInternal(HttpServletRequest request, HttpServletResponse response, HandlerMethod handlerMethod) throws Exception {
this.checkRequest(request);
ModelAndView mav;
if (this.synchronizeOnSession) {
HttpSession session = request.getSession(false);
if (session != null) {
Object mutex = WebUtils.getSessionMutex(session);
synchronized(mutex) {
mav = this.invokeHandlerMethod(request, response, handlerMethod);
}
} else {
mav = this.invokeHandlerMethod(request, response, handlerMethod);
}
} else {
mav = this.invokeHandlerMethod(request, response, handlerMethod);
}
if (!response.containsHeader("Cache-Control")) {
if (this.getSessionAttributesHandler(handlerMethod).hasSessionAttributes()) {
this.applyCacheSeconds(response, this.cacheSecondsForSessionAttributeHandlers);
} else {
this.prepareResponse(response);
}
}
return mav;
}
@Nullable
protected ModelAndView invokeHandlerMethod(HttpServletRequest request, HttpServletResponse response, HandlerMethod handlerMethod) throws Exception {
ServletWebRequest webRequest = new ServletWebRequest(request, response);
ModelAndView var15;
try {
//생략...
var15 = this.getModelAndView(mavContainer, modelFactory, webRequest);
} finally {
webRequest.requestCompleted();
}
return var15;
}
invokeHandlerMethod()
를 통해 컨트롤러의 메서드를 실행하고 getModelAndView()
메서드를 통해 ModelAndView
로 바꿔 반환합니다.
추가적으로 핸들러에 대해 설명하자면 아래에 설명할 다른 핸들러는 하나의 컨트롤러가 하나의 url
에 만 맵핑되지만, 이 방식은 하나의 컨트롤러에서 여러 url
과 맵핑될 수 있습니다.
2. HttpRequestHandlerAdapter
두번째로 HttpRequestHandlerAdapter
는 HttpRequestHandler
라는 인터페이스를 구현한 컨트롤러(핸들러)를 위한 Adapter
로 Model/view
를 사용하지 않는 Http
기반의 low level
서비스를 개발할때 사용할 수 있습니다.
@Nullable
public ModelAndView handle(HttpServletRequest request, HttpServletResponse response, Object handler) throws Exception {
((HttpRequestHandler)handler).handleRequest(request, response);
return null;
}
별도의 Model/View
를 사용하지 않기 때문에 null
을 반환하는 것을 볼 수 있습니다.
3. SimpleControllerHandlerAdpter
Controller
라는 인터페이스를 구현한 컨트롤러(핸들러)를 위한 Adapter
로 어노테이션 방식의 컨트롤러가 등장하기 전의 가장 기본적인 컨트롤러 타입입니다.
@Nullable
public ModelAndView handle(HttpServletRequest request, HttpServletResponse response, Object handler) throws Exception {
return ((Controller)handler).handleRequest(request, response);
}
Controller
인터페이스의 handleRequest()
가 ModelAndView
를 반환하기에 그대로 실행하여 반환하는 것을 볼 수 있습니다.
Last updated